摘要 王勃,張緒剛,史利利,張斌(1.黑龍江省科學院石油化學研究院,黑龍江哈爾濱150040;2.哈爾濱工程大學材料科學與化學工程學院,黑龍江哈爾濱150001)摘要:通過溶液聚合方法合...
王勃,張緒剛,史利利,張斌
(1.黑龍江省科學院石油化學研究院,黑龍江哈爾濱150040;2.哈爾濱工程大學材料科學與化學工程學院,黑龍江哈爾濱150001)
(1.黑龍江省科學院石油化學研究院,黑龍江哈爾濱150040;2.哈爾濱工程大學材料科學與化學工程學院,黑龍江哈爾濱150001)
摘要:通過溶液聚合方法合成一種含環氧基的丙烯酸酯低聚物,用以改性環氧樹脂膠粘劑。研究表明,通過調整主鏈結構中各單體的配比以及低聚物用量,特別是加入含環氧基的活性丙烯酸酯單體,使其聚合在主鏈結構中,通過固化反應與主體結構可形成化學鍵。這種膠粘劑在耐熱性能不下降的前提下室溫剪切強度和剝離強度均有提高。通過掃描電鏡觀察斷裂表面的微觀結構,探討了粘接性能與微觀結構的關系。
關鍵(jian)詞:改性環氧樹脂;甲基丙烯酸縮水甘油酯;低聚物;膠粘劑
中圖分類號:TQ433.437 文獻標識碼:A 文章編號:1001-5922(2010)12-0036-06
環氧樹脂膠粘劑是一種性能優良、應用廣泛的膠粘劑,但其固化物質脆。環氧樹脂的增韌改性一直是研究重點。例如CTBN、HTBN等液體橡膠為改性劑,可以利用其反應性官能團與環氧樹脂主體結構反應,形成預聚物,在樹脂的熱性能和機械性能損失不大的情況下,使體系的韌性得以提高。但是,CTBN這類材料主鏈中含有雙鍵,在高溫情況下,容易發生氧化降解或進一步交聯而失去彈性。飽和鏈的液體橡膠,如聚氨酯、有機硅以及丙烯酸酯類液體橡膠,主鏈結構不含雙鍵,抗熱氧老化性能優異;尤其是丙烯酸酯類液體橡膠,可以兼具CTBN的優良增韌特性,可在不損失耐熱性的情況下大幅度提高膠粘劑的強度,而成為國內外近些年研究熱點。
側鏈含環氧基的液態丙烯酸酯液體橡膠可以直接與環氧樹脂共混,并具有良好的相容性。在固化反應時通過與固化劑交聯將低聚物嵌入到環氧樹脂網絡中,增韌效果良好。目前國內外對此類液體橡膠有一些研究,如TakaoIijima用丙烯酸丁酯、丙烯酸縮水甘油酯等合成的液體橡膠,能使環氧固化物斷裂韌性提高80%;張保龍等合成了含環氧基團的丙烯酸酯聚合物,可使改性環氧樹脂固化物的沖擊強度提高50%,T也有所提高;孔杰等用丙烯酸丁酯、丙烯酸乙酯、丙烯酸縮水甘油酯等合成的三元共聚液體橡膠來改性環氧樹脂膠粘劑,剪切強度顯著提高。
本課題采用溶液聚合法,以丙烯酸丁酯為主鏈、甲基丙烯酸縮水甘油酯為官能單體,合成了含環氧基的液態丙烯酸酯低聚物,用FT-IR進行了表征。考查低聚物改性環氧樹脂與4,4′-二氨基二苯甲烷固化體系的粘接性能,研究了投料比及低聚物含量對改性環氧樹脂粘接性能的影響,通過SEM觀察斷裂表面的微觀結構,探討增韌體系結構與性能的關系。
1實驗部分
1.1原材料
環氧樹脂E-51,工業級,無錫樹脂廠;丙烯酸丁酯(BA),分析純,北京益利精細化學品有限公司;甲基丙烯酸縮水甘油酯(GMA),北京東方化工廠;十二碳硫醇,分析純,黑龍江省石油化學研究院;過氧化苯甲酰,分析純,汕頭市西隴化工廠;4,4′-二氨基二苯甲烷,工業級,張家港市第四化工廠。
1.2分析與測試
采用德國BRUKER公司的VECTOR22型紅外色譜儀對合成的低聚物進行表征;采用日本JEOL公司的JSM-840型掃描電鏡觀察環氧樹脂固化物斷裂面的微觀形態,斷裂面采用噴金處理;采用英國INSTRON公司的4467型電子拉力機測試粘接性能,剪切強度按GB/T7124-2008測試,剝離強度按GB/T7122-1996測試;膠粘劑固化條件為100℃/3h。
1.3丙烯酸酯液體橡膠的合成及表征
1.3.1合成反應工藝條件
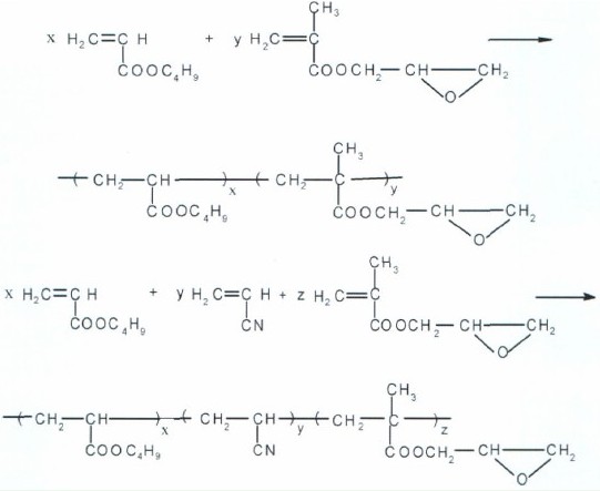
以甲苯為溶劑,加入少量乙酸乙酯,將BA(或BA和AN)和GMA一次性投料;在N保護下,水浴加熱至85℃,開始滴加用乙酸乙酯溶解的過氧化苯甲酰,同時分批加入十二碳硫醇,反應5h后加入單體總質量1%的對苯二酚,真空抽掉未反應的單體和溶劑,然后用環己烷洗滌3次,在70~80℃下烘干至恒量。合成的BA-GMA二元共聚物或BA-AN-GMA三元共聚物反應式如下:



圖1 2種體系的紅外譜圖
1.4改性環氧樹脂的固化
低聚物和E-51按比例混合均勻即得到改性環氧樹脂。按環氧量加入4,4′-二氨基二苯甲烷固化劑,在100℃下固化3h,得到改性環氧樹脂固化物。表1為不同低聚物含量膠粘劑性狀和固化后狀態。從表1可以看出,不加AN的合成產物外觀無色透明,加入AN后變成棕紅色,并隨著AN用量的增加,顏色逐漸變深。不加GMA或GMA用量較少,低聚物的環氧值為零或較低,固化產物外觀為乳白色,說明低聚物與環氧樹脂相容性差,體系的相分離嚴重;隨GMA用量增多,低聚物的環氧值也增加,固化產物外觀變為淺黃色或接近透明狀態的固體,說明低聚物與環氧樹脂相容性逐漸變好。低聚物與環氧樹脂相容性與粘接性能有較大關聯,將結合粘接性能加以分析。

表1 不同低聚物含量膠粘劑性狀和固化后狀態
2結果與討論(lun)
2.1環氧基含量對膠粘劑粘接性能的影響
低聚物用量為環氧樹脂的10%。GMA含量對BA/GMA和BA/AN/GMA(AN質量分數為20%)改性體系不同溫度下剪切強度的影響見圖2。從圖2a)可以看出,25℃和80℃下改性體系強度提高幅度較大;150℃剪切強度變化較平緩,并均在GMA添加量為20%左右時出現峰值。25℃和80℃的剪切強度分別提高了49.6%和15.4%;而150℃剪切強度均略低于純環氧樹脂體系。從圖2b)可以看出,25℃下,改性體系強度提高幅度較大,并與80℃剪切強度一樣在低聚物用量為10%時出現峰值,分別較純環氧樹脂體系提高了63.5%和14.4%;150℃下剪切強度曲線變化較為平緩,但均低于純環氧樹脂體系。結合表1的產物外觀可以看出,低聚物的環氧基含量對體系的性能影響較大,環氧基的含量過大或過小,均不能達到良好的粘接效果。

圖2 GMA含量對2種體系剪切強度的影響
2.2AN含量對改性體系粘接強度的影響
低聚物用量為環氧樹脂的10%。GMA質量分數為10%,AN含量對改性體系在不同溫度下的剪切強度和25℃剝離強度的影響見圖3。從圖3a)可以看出,隨AN含量的增加,改性體系的25℃和80℃的剪切強度變化較大,均在20%左右出現峰值;對150℃的剪切強度影響不大。從圖3b)可以看出,隨AN含量的增加,剝離強度逐漸增大。但若保持低聚物在室溫下為液態,硬段的AN和GMA的含量不應過高,否則會使低聚物室溫下呈現半固態或固態。

圖3 AN含量對改性體系粘接強度的影響




3結論
(1)合成的主鏈含有環氧基的飽和鏈液體橡膠,對E-51環氧樹脂具有優良的增韌性能。其用量為10%左右,剪切強度和剝離強度均大幅度提高,同時體系的耐熱性基本不下降。
(2)試驗結果表明,低聚物環氧基含量以及低聚物的用量過多或過少,增韌效果都不好,此結論也可從固化產物相容性以及SEM照片進行判斷。
參考(kao)文獻
[1] 王曉坡,白永平,劉麗,等.粘接聚苯硫醚膜室溫固化耐高溫環氧膠粘劑[J].化學與粘合,2010,32(4):1-5,13.
[2] 魏麗娟,黃鵬程,魏然.中溫固化丁腈橡膠改性環氧樹脂膠粘劑的研究[J].化學與粘合,2010,32(4):6-9,62.
[3] 羅延齡.活性端基液體橡膠合成技術[J].合成橡膠工業,2001,24(3):119-122.
[4] Takao Iijima,Masao Tomoi,Junichi Yamasaki.Tougheningof epoxy resins by modification with acrylic elastomerscontaining pendant epoxy groups[J].Eur PolymJ,1990,26(2):145-151.
[5] 張保龍,廖少文,石可瑜,等.含環氧基的丙烯酸酯共聚物改性環氧樹脂[J].應用化學,1998, 15(4):9-12.
[6] 孔杰,寧榮昌,唐玉生,等.丙烯酸酯液體橡膠改性環氧樹脂膠粘劑的研究[J].粘接,2002, 23(6) :29-32.
[7] Ratna D,Ajit Banthia.Toughened epoxy adhesive modified with acrylate based liquid rubber [J].PolymerInternational,2000,49:281-287.
[8] 張緒剛,張斌,張密林,等.液態含羧基丙烯酸酯低聚物改性環氧樹脂[J].合成橡膠工業,2005,28(5):364-368.
[9] He J,Raghavan D,Hoffman D,et al.The influence ofelastomer concentration on toughness in dispersionscontaining performed acrylic elastomeric particles in anepoymatrix[J].Polymer,1999,40:1923-1933.